当前位置: 爱股网 > 股票新闻 > 正文

单月涨幅超80%,蛋氨酸为何一涨再涨?

时间:2026年03月25日 10:33

蛋氨酸,化学式C5H11NO2S,又名甲硫氨酸,有L-和D-蛋氨酸两种同分异构体,是唯一含硫的必需氨基酸,亦是单胃动物自身无法合成、必须从外源摄入的第一限制性氨基酸。其核心应用于饲料添加剂领域,占全球总消费量的90%以上,同时广泛应用于食品营养强化、医药中间体等场景。它能够显著提升饲料蛋白利用率、降低养殖成本、减少养殖端氮排放,是关乎国家粮食安全与畜牧产业高质量发展的战略性化工产品。

附图1  蛋氨酸的结构附图1  蛋氨酸的结构

蛋氨酸生产属于技术密集、资金密集且受环保强约束的高端化工产业,生产流程长,对工艺控制精度要求极高,行业进入壁垒显著。

2026年以来,国内蛋氨酸价格开启持续上行走势,截至3月中旬,固体蛋氨酸市场主流成交均价较年初涨幅超80%,液体蛋氨酸均价较年初涨幅近20%,价格已突破2025年全年高点。本轮涨价核心驱动因素,一是中东地缘冲突升级,推高蛋氨酸生产的能源与丙烯、甲醇、硫磺等核心原料成本;二是海外龙头企业装置停产,市场供给阶段性偏紧,进一步放大了价格涨幅。

一、蛋氨酸品类及产业基础

现有的工业化蛋氨酸可分为三大核心品类,不同品类对应着差异化的生产工艺与应用场景,构成了产业生产体系的基础框架。

1、DL-蛋氨酸(固体蛋氨酸)

是当前市场的绝对主流品类,约占全球总消费量的60%。产品为白色结晶粉末,纯度高,易于储存和运输,适用于全品类畜禽饲料配方,是工业化生产技术最为成熟、市场竞争最为充分的品类。特殊之处在于,蛋氨酸D构型可在动物体内自动转化为具有生物活性的L构型,D、L型营养价值几乎相同,因此饲料级产品无需进行繁杂的光学拆分,大幅降低了工业化生产成本。

2、羟基蛋氨酸类似物(液体蛋氨酸)

羟基蛋氨酸类似物(MHA)约占全球总消费量的40%。该品类无需进行结晶提纯,生产流程更短,液态形态可通过专用设备实现精准计量、自动化连续添加,适用于大型饲料企业的规模化生产。随着国内养殖与饲料行业自动化水平的提升,其市场接受度持续提高。

3、L-蛋氨酸

为左旋单体结构,生物活性远高于消旋体,主要应用于医药、高端食品与特种饲料领域。传统生产以化学拆分法为主,近年来生物合成法成为该品类的核心研发方向。

从生产技术维度划分,蛋氨酸制备可分为化学合成法与生物合成法两大类。其中,化学合成法凭借成熟的工艺体系、稳定的产品收率与可控的生产成本,占据全球99%以上的市场供给;生物合成法作为绿色低碳的新兴技术路线,正处于研发突破与小规模产业化试点阶段。

二、主流工艺与技术进展

历经数十年的技术迭代,蛋氨酸生产已形成以化学合成法为绝对主体、生物合成法为重要研发方向的技术体系。其中,化学合成法以丙烯醛法为工业化核心,衍生出海因法与氰醇法两大成熟路线,是当前全球蛋氨酸生产的技术基石。

(一)化学合成工艺

化学合成法的核心优势在于其原料多为石化工业初级产品,来源广泛、价格可控,工艺总收率可稳定在80%以上。核心路线均以丙烯醛、甲硫醇为基础原料,先接入甲硫基基团,再生成羧基与氨基基团,最终制得蛋氨酸成品。

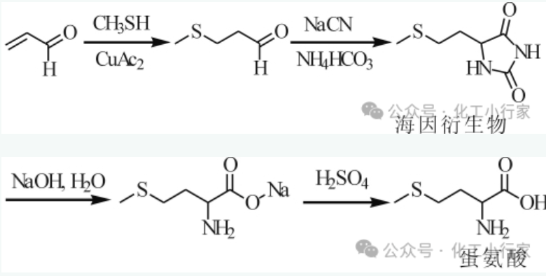
1、海因法合成工艺

海因法是全球最早实现大规模工业化的蛋氨酸生产技术,核心反应原理为:丙烯醛与甲硫醇经加成反应生成甲硫基丙醛,再与氰化钠、碳酸铵缩合生成5-(β-甲硫乙基)乙内酰脲(海因中间体),随后经碱性水解、酸化中和、浓缩结晶、分离干燥等步骤制得DL-蛋氨酸成品。该工艺环化反应收率接近100%,总收率超过80%,流程简单、自动化程度高,是目前行业研究最深入的蛋氨酸制备工艺。

附图2 海因法合成路线附图2 海因法合成路线

该工艺在国际上的代表企业为德国赢创,在国内,浙江新和成实现了该工艺的自主突破与绿色化升级。其研发的清洁化海因法工艺构建了全流程物料循环体系,结晶母液经处理后可全部循环套用,基本达成无废水、废气排放的目标。基于核心原料3-甲硫基丙醛的总摩尔收率最高可达94.0%,产品纯度稳定维持在99%以上。

宁夏紫光天化针对传统海因法碱耗高、副产硫酸钠量大的问题,研发了碳酸钠循环水解、母液全循环技术,大幅降低了原料消耗与环保处理成本,实现了工艺的绿色化升级。

2、氰醇法合成工艺

氰醇法亦称改良斯特雷克法,是当前全球应用最为广泛的生产技术,可分为固体蛋氨酸与液体蛋氨酸两大分支。

(1)DL-蛋氨酸

DL-蛋氨酸氰醇法的核心原理为:甲硫基丙醛与氢氰酸加成生成氰醇中间体,再经氨化、水解、中和、结晶制得成品,代表企业为法国安迪苏。该工艺反应步骤相对较短,单线产能弹性较大,副产物硫酸铵可直接作为氮肥进行资源化利用,环保成本较低。然而,氰醇中间体稳定性较差,对反应控制精度要求极高,技术壁垒显著。

(2)液体蛋氨酸

液体羟基蛋氨酸氰醇法无需氨化与结晶环节,氰醇中间体经直接水解、浓缩即可制得成品,代表企业为美国诺伟司。该工艺生产流程最短,固定资产投资与能耗相较于固体工艺显著降低,无大量副产物处理压力,是当前行业内经济性较为突出的生产工艺之一。

附图3 氰醇法合成路线附图3 氰醇法合成路线

(二)新兴生物合成工艺

生物合成法是蛋氨酸产业技术研发的重要方向,可分为微生物发酵法与酶催化转化法两类,其核心优势在于反应条件温和、原料可再生、环境友好,可直接合成高光学纯度的L-蛋氨酸。

1、微生物发酵法

微生物发酵法以葡萄糖、甘油等生物质为原料,通过基因工程改造的工程菌株发酵合成L-蛋氨酸,但其核心瓶颈在于发酵产率偏低,规模化生产成本较化学法仍存在显著差距。目前,日本味之素、赢创及国内梅花生物等企业均布局了相关核心专利,但尚未实现大规模工业化。

2、酶催化转化法

酶催化转化法以化学合成中间体为原料,通过固定化酶催化制备高纯度L-蛋氨酸,产品光学纯度可达99.9%以上,已实现千吨级规模化生产,主要应用于医药与高端食品领域。

截至2025年末,全球生物法蛋氨酸总产能不足5万吨/年,市场占比不足3%,仍以技术研发与小规模试点为主。

三、产能布局与发展现状

蛋氨酸产业长期处于高度寡头垄断格局。2010年之前,全球产能几乎被赢创、安迪苏、诺伟司、住友化学四大国际巨头所垄断,中国市场90%以上的需求依赖进口。近年来,随着国内企业技术突破与产能扩张,全球蛋氨酸产能重心逐步向中国转移,形成了国际巨头与国内头部企业同台竞争的新格局。

(一)全球蛋氨酸产能总体概况

截至2025年末,全球蛋氨酸名义总产能突破230万吨/年,有效运行产能约200万吨/年,产能集中度保持在较高水平,前四大国际企业产能占比超78%。全球核心国际企业产能布局如下:

赢创:DL-蛋氨酸80万吨/年。

安迪苏欧洲:DL-蛋氨酸8万吨/年,液体蛋氨酸24万吨/年。

诺伟司:DL-蛋氨酸32万吨/年。

住友化学:DL-蛋氨酸10万吨/年,液体蛋氨酸14万吨/年。

从区域分布来看,全球蛋氨酸产能已由传统的欧美、日本核心区域,逐步向亚太地区转移。中国已成为全球蛋氨酸产能增速最快、产业链配套最为完善的国家。

(二)中国蛋氨酸产能发展历程与现状

截至2025年末,中国蛋氨酸名义总产能突破91万吨/年,已成为全球最大的蛋氨酸生产国之一。2025年,国内蛋氨酸自给率超过90%,净出口量突破15万吨,实现了从净进口国向净出口国的转变。当前国内核心产能布局为:

新和成:DL-蛋氨酸37万吨/年,液体蛋氨酸18万吨/年。

安迪苏南京:液体蛋氨酸35万吨/年。

和邦生物:液体蛋氨酸7万吨/年。

宁夏紫光天化:DL-蛋氨酸11万吨/年。

四、产业发展总结

蛋氨酸产业的发展核心始终围绕技术突破与产能布局两条主线。在技术层面,化学合成法仍是行业的绝对主流,海因法与氰醇法构成了工业化生产的核心技术体系。国内企业已打破国际巨头的长期技术垄断,实现了清洁化工艺的创新升级;生物合成法仍处于研发试点阶段,尚未对传统工艺形成规模化替代。

附图4 山东新和成氨基酸有限公司(DL-蛋氨酸37万吨/年)附图4 山东新和成氨基酸有限公司(DL-蛋氨酸37万吨/年)

在产能格局层面,全球蛋氨酸产业已从国际寡头独家垄断转变为国际巨头与中国头部企业竞争的新格局。中国实现了从完全依赖进口到成为全球核心供给国的历史性跨越,在全球产业链中的话语权持续增强。2026年中东地缘冲突引发的全球能化产业链震荡,进一步凸显了蛋氨酸全产业链自主可控的重要性。中国本土产业凭借完善的配套体系,展现出更强的抗风险能力与供应链稳定性。

未来,蛋氨酸行业的市场竞争将更聚焦于核心工艺优化、生产成本精细化管控与供应链稳定保障。拥有自主核心技术、全产业链配套能力的企业,将在全球市场竞争中持续占据优势地位。

参考文献

[1]浙江新和成股份有限公司,浙江大学.一种清洁的D,L-蛋氨酸制备方法:201210320297.0[P].2014-02-26.

[2]刘勤,李宏.蛋氨酸合成方法概述[J].氨基酸和生物资源,2011,33(03):46-51.DOI:10.14188/j.ajsh.2011.03.007.

[3]卿周君.蛋氨酸生产工艺及核心制备技术研究进展[J].化工管理,2015,(36):174.

[4]Shim J, Shin Y, Lee I, Kim SY. L-Methionine Production. Adv Biochem Eng  Biotechnol. 2017;159:153-177. DOI: 10.1007/10_2016_30.

[5] Calderon-Ardila S , Morvan D ,Olivier Péruch,et al.Methionine and its  hydroxy analogues: the paths toward their sustainable chemical  synthesis[J].Green Chemistry, 2024, 26(8):29.DOI:10.1039/D3GC03826B.

[6]《石化绿色工艺名录》(2020年版).

[7]《饲料级 DL-蛋氨酸》(GB/T 17810-2009).

免责声

本文来源化工小行家转载请注明出处,如涉嫌侵犯您的著作权,请联系我们删除,谢谢!

查看更多董秘问答>>

热门新闻

>>>查看更多:股市要闻