(来源:唐爱金团队研究)
本文来自信达证券研发中心2025年9月25日发布的洁特生物(688026)公司深度报告《自主品牌破局海外,国产替代加速成长》,欲了解具体内容,请阅读报告原文,唐爱金S1500523080002,贺鑫S1500524120003,曹佳琳S1500523080011。
核心逻辑:洁特生物深耕生物实验室耗材领域二十余年,专注于生物培养与液体处理两大方向,技术实力领先,产品矩阵完善。我们认为随着海外自主品牌影响力逐步提升、国内工业和科研两大市场齐发力,公司业务有望保持较快增长,公司有望成为全球领先的实验室耗材供应商。
海外市场:以ODM为基础,加速自主品牌输出
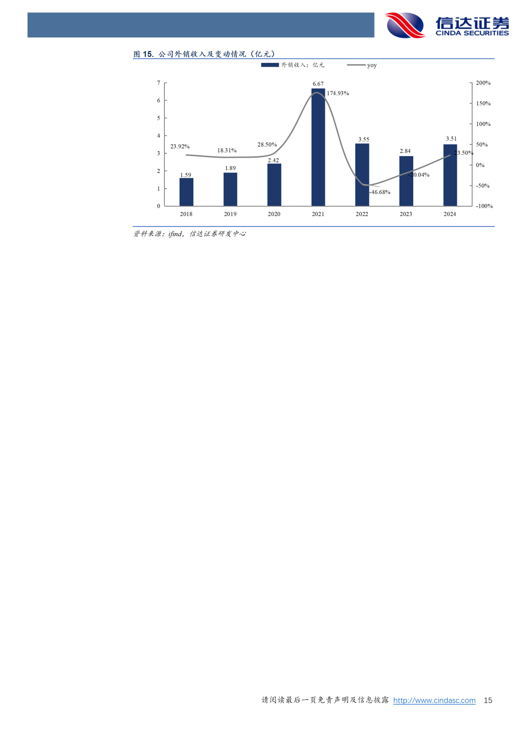
公司以ODM模式切入全球生物实验室耗材供应链,凭借自主设计与制造能力,与VWR、Thermo Fisher等国际龙头建立稳定合作,产品远销欧美等70多个国家及地区,逐步在海外市场建立了“质量可靠”和“性价比突出”的形象。随着产品质量逐渐被欧美客户认可,公司发力自主品牌,以高品质的产品、优质的服务和更划算的价格拓展市场,2024年公司在欧洲、南美、东南亚等区域市场的自主品牌渗透率显著提升,海外自主品牌收入同比增加46.07%,在境外收入占比达18.89%。我们认为随着公司海外自主品牌推广战略逐步落地,公司有望实现从代工生产到自主品牌的转型升级,在国际实验室耗材供应链中获得更多的价值量。
国内市场:把握进口替代机会,科研市场+工业市场齐发力
在当前国际贸易局势下,国家在卡脖子领域强调要提升自主可控的能力,生命科学实验室耗材国产化率有望加速提升。洁特生物作为国内最早生产生物实验室一次性塑料耗材的企业之一,具有较强的先发优势,营收规模位于行业领先位置。在国产替代的背景下,公司一方面扩大销售网络覆盖面,2024年在国内设12个办事处,提升了科研客户的触达能力和服务响应速度,另一方面,拓展工业客户群,通过高工艺品质的细胞工厂,服务生物制药、抗体蛋白、疫苗生产及CGT大健康客户,2024年公司细胞工厂产品销售额同比增长约28.55%,表现出了良好的增长势头。我们认为公司积极抓住国内实验室耗材进口替代的机会,随着科研和工业两大市场双轮驱动,成长潜力有望释放。
产品高端化+智能制造降成本,打造“性价比”优势
在产品端,公司致力于开发液体培养基、细胞培养袋、冻存袋等高端产品,优化产品结构,在生产端,公司不断优化工艺与引入自动化设备,稳步降低单位制造成本,未来公司将以增城智能制造基地为依托,推进产线自动化升级,同时全面启用智能仓储系统,订单交付效率有望提高,进而为全球业务需求提供有力支撑。我们认为高端化的产品结构与高效率的生产能力,将为公司成为全球领先的优质实验室耗材供应商提供坚实的基础。
盈利预测与投资评级:我们预计公司2025-2027年营业收入分别为6.52亿元、7.72亿元、9.19亿元,同比增速分别为16.7%、18.3%、19.1%,2025-2027年实现归母净利润为0.98亿元、1.18 亿元、1.45亿元,同比分别增长35.3%、20.6%、23.2%,对应2025年9月24日股价PE分别为26、21、17倍,首次覆盖,给予“买入”投资评级。
风险因素:境外业务不达预期;美元汇率波动风险;技术升级和产品更新换代风险。



























>>>查看更多:股市要闻